Sejak dunia berhasil menghapus cacar pada akhir 1970 an, perhatian para ahli kesehatan global perlahan bergeser ke kelompok virus orthopox lainnya. Salah satu yang kini menjadi sorotan adalah monkeypox atau cacar monyet. Penyakit ini bukan lagi dianggap masalah kecil yang hanya muncul di bagian tertentu Afrika. Dalam beberapa tahun terakhir, kasusnya meningkat di berbagai negara dan telah menular secara luas dari manusia ke manusia. Kondisi ini menimbulkan pertanyaan penting. Mengapa penularannya meningkat dan langkah apa yang paling efektif untuk menghentikan penyebarannya.
Sebuah studi terbaru yang dipublikasikan dalam The European Physical Journal Special Topics pada tahun 2025 memberikan jawaban ilmiah berbasis data. Para peneliti menggunakan pendekatan matematika dan epidemiologi modern untuk memahami dinamika penularan serta mengevaluasi seberapa besar dampak pengawasan atau surveillance terhadap jalur infeksi dari satu manusia ke manusia lain. Temuan mereka mengungkap bahwa kualitas pengawasan penyakit berperan lebih besar dari yang selama ini diperkirakan. Tanpa pengawasan yang kuat, jumlah kasus dapat meningkat tajam dan secara cepat berubah menjadi wabah besar.
Baca juga artikel tentang: Cahaya dan Kimia: Sinergi Baru dalam Perawatan Kanker Payudara
Penelitian ini mengembangkan model matematika komprehensif yang memasukkan beberapa faktor penting. Kontak antarmanusia, efektivitas penelusuran kontak, vaksinasi sebelum seseorang terpapar, dan vaksinasi setelah seseorang terpapar. Dengan memasukkan faktor faktor tersebut, model dapat menggambarkan bagaimana penyakit menyebar, bagaimana ia dapat dikendalikan, serta kondisi apa yang memungkinkan virus berhenti menyebar atau justru menjadi penyakit endemik yang terus bertahan dalam populasi.
Salah satu hasil paling menarik dari penelitian ini adalah ditemukannya dua kemungkinan keseimbangan penularan. Yang pertama adalah kondisi bebas cacar monyet, di mana penyebaran berhasil ditekan. Yang kedua adalah kondisi endemik, yaitu situasi ketika virus terus menyebar pada tingkat yang stabil tetapi tidak hilang sama sekali. Model matematika menunjukkan bahwa kedua kondisi ini dapat tercapai tergantung pada nilai angka reproduksi efektif atau Reff. Nilai ini menggambarkan rata rata jumlah orang yang akan tertular oleh satu orang yang terinfeksi. Jika Reff berada di bawah satu, penularan akan semakin menurun dan penyakit berpotensi menghilang. Jika berada di atas satu, virus akan terus bertahan dalam populasi.

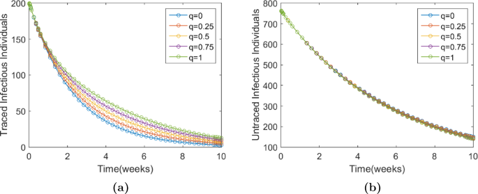
Peneliti menemukan hal yang cukup penting. Bahkan peningkatan kecil jumlah orang yang terlindungi melalui vaksinasi, meskipun hanya sekitar 0.035 persen per minggu, dapat membuat perbedaan besar dalam mendorong Reff turun di bawah satu. Namun vaksinasi saja tidak cukup. Model menunjukkan bahwa penelusuran kontak dan isolasi orang yang bergejala memegang peranan yang lebih menentukan dalam keberhasilan pengendalian penyakit.
Hal ini dapat dijelaskan melalui mekanisme dasar penularan. Jika seseorang terinfeksi tetapi tidak segera dikenali atau dilacak, ia berpotensi menularkan virus ke banyak orang lain selama masa infeksinya. Tanpa pengawasan yang baik, jumlah orang yang tidak terlacak akan terus bertambah dan melahirkan gelombang penularan baru. Penelitian ini menunjukkan bahwa dalam skenario tanpa pengawasan, jumlah kasus infeksi dapat meningkat secara eksponensial dan memicu wabah besar.
Sebaliknya, ketika pengawasan dilakukan dengan baik, hasilnya sangat berbeda. Penelusuran kontak memungkinkan petugas kesehatan mengidentifikasi orang yang mungkin telah terpapar sebelum mereka menularkan kepada orang lain. Kemudian, isolasi bagi mereka yang bergejala memutus mata rantai penularan karena virus orthopox seperti monkeypox cenderung menular ketika seseorang sudah memiliki gejala yang jelas seperti ruam atau lesi kulit. Dengan dua langkah ini saja, penyebaran dapat ditekan secara signifikan.
Model matematika dalam penelitian ini menegaskan bahwa kombinasi pengawasan, isolasi, dan vaksinasi memberikan perlindungan maksimal. Ketiganya bekerja seperti tiga lapis pertahanan yang saling melengkapi. Pengawasan membantu mendeteksi kasus lebih awal. Isolasi menghentikan kasus tersebut agar tidak menyebarkan penyakit. Vaksinasi memberikan perlindungan jangka panjang bagi kelompok berisiko dan menurunkan potensi penularan pada skala populasi.
Temuan ini juga memberikan gambaran tentang apa yang dibutuhkan untuk mencegah monkeypox berubah menjadi penyakit endemik global. Jika negara negara tidak memperkuat sistem pengawasannya, virus bisa menemukan celah untuk menyebar dalam populasi yang besar. Ketika jumlah kasus terus terjadi pada tingkat tertentu, monkeypox akan menjadi penyakit yang sulit dihilangkan dan membutuhkan perhatian jangka panjang.
Studi ini sekaligus memberikan pelajaran penting dari perspektif kebijakan kesehatan masyarakat. Banyak negara cenderung merespons penyakit hanya ketika sudah terjadi peningkatan besar kasus. Namun monkeypox membutuhkan pendekatan berbeda. Karena virus ini menular ketika gejala sudah muncul, peluang untuk menghentikan penularan sebenarnya cukup besar asalkan sistem kesehatan dapat mendeteksi dan mengisolasi kasus secara cepat. Dengan kata lain, kecepatan respons menjadi faktor penentu.
Selain itu, penulis juga menekankan bahwa model yang mereka gunakan dapat dipakai untuk meramalkan dampak berbagai kebijakan. Misalnya, apa yang terjadi jika vaksinasi ditingkatkan, atau jika penelusuran kontak diperluas, atau jika tingkat kepatuhan isolasi meningkat. Dengan kemampuan tersebut, model ini dapat menjadi alat bantu penting bagi pemerintah untuk merancang strategi pengendalian yang paling efektif.
Penting bagi masyarakat umum untuk memahami bahwa pengawasan penyakit bukan hanya tugas pemerintah atau tenaga kesehatan. Kesadaran masyarakat untuk melaporkan gejala, mengikuti isolasi, atau bersedia mengikuti vaksinasi juga menjadi bagian penting dari sistem pengawasan. Semakin cepat kasus ditemukan, semakin mudah wabah dicegah.
Secara keseluruhan, penelitian ini menunjukkan bahwa dunia memiliki peluang nyata untuk mengendalikan penularan monkeypox, bahkan di tengah meningkatnya mobilitas manusia dan kepadatan populasi global. Kuncinya adalah membangun sistem pengawasan yang kuat, responsif, dan didukung oleh kerja sama masyarakat. Jika langkah langkah ini diterapkan, monkeypox tidak harus menjadi ancaman jangka panjang bagi kesehatan dunia.
Baca juga artikel tentang: Tes Darah Biru: Revolusi Deteksi Kanker Pankreas dan Paru dengan PAC-MANN
REFERENSI:
Andrawus, James dkk. 2025. Impact of surveillance in human-to-human transmission of monkeypox virus. The European Physical Journal Special Topics 234 (3), 483-514.

