Kaca saat ini digunakan dalam beragam aplikasi yang memerlukan kinerja tinggi, termasuk dalam produk konsumen, industri, elektronik militer, dan penerbangan. Ini termasuk ponsel, pesawat jet, serta berbagai perangkat elektronik lainnya. Namun, pembuatan produk kaca dengan presisi tinggi menuntut agar substrat kaca tetap mempertahankan bentuknya selama proses produksi.
Salah satu perusahaan yang berperan penting dalam industri kaca adalah Corning Incorporated. Mereka fokus pada inovasi material kaca, keramik, dan produk terkait. Dalam upaya memperbaiki kualitas kaca, Corning mengalokasikan sumber daya yang signifikan untuk mempelajari stabilitas berbagai jenis kaca. Salah satu penemuan terbaru mereka adalah bahwa pemahaman akan stabilitas “cincin atom” dalam struktur molekul kaca dapat membantu meramalkan kinerja produk kaca.
Untuk memahami lebih dalam mengenai hubungan antara struktur molekul kaca dan kinerjanya, para peneliti melakukan eksperimen di Department of Energy’s Oak Ridge National Laboratory, ORNL, yang dimiliki oleh U.S. Dept. of Energy. Mereka menggunakan metode penyebaran neutron, sebuah teknik yang memungkinkan mereka untuk melihat struktur atomik material dengan sangat detail.
Hal ini penting karena kaca yang paling umum digunakan, yaitu kaca silikat, memiliki struktur molekul yang terdiri dari berbagai ukuran “cincin atom” yang terhubung secara tiga dimensi. Dengan pemahaman yang lebih baik tentang struktur molekul kaca, produsen seperti Corning dapat mengembangkan kaca dengan kinerja yang lebih baik untuk berbagai aplikasi, mulai dari perlindungan elektronik hingga optik.
Baca juga: Dasar Komunikasi Fiber Optik dan FTTH (Fiber To The Home) (warstek.com)
Hasil dari penelitian ini, yang dipublikasikan dalam jurnal ilmiah Nature Communications, menunjukkan bahwa semakin banyak “cincin atom” kecil yang kurang stabil dalam kaca, semakin tidak stabil pula kaca tersebut.

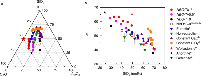
a. Komposisi dari 44 kaca CAS dengan nilai fragilitas yang dipublikasikan dan 4 kaca dengan indeks fragilitas yang diukur dalam penelitian ini, seperti yang ditunjukkan dalam diagram fase terner dalam persen mol.
b. Korelasi terbalik antara m dan persentase mol SiO2 dari 48 kaca CAS, dengan sumber-sumbernya dicatat dalam legenda. Kaca-kaca dalam setiap kelompok kategori diplot dengan simbol warna yang sama.
Shi dan timnya dari Corning, University of California di Los Angeles, dan University of Oxford berkolaborasi dengan para ilmuwan di beamline NOMAD neutron diffractometer di Spallation Neutron Source milik ORNL untuk menyelidiki kaca aluminosilikat, bahan yang sering digunakan dalam industri.
Mereka menggunakan RingFSDP, sebuah alat analisis data baru yang telah dikembangkan dan divalidasi, untuk mengidentifikasi pola kunci dalam data yang mereka kumpulkan. Pola ini membantu mereka memahami hubungan antara kepekaan cairan dalam kaca dan kestabilan cincin atomiknya.
RingFSDP adalah program komputer gratis yang dapat diakses publik yang dirancang oleh para ilmuwan dari Corning dan ORNL. Program ini membantu memetakan distribusi ukuran cincin atomik dalam kaca silikat berdasarkan bentuk puncak pertama pada data difraksi neutron. Dengan demikian, memungkinkan para peneliti untuk melihat struktur atomik kaca dengan lebih jelas dan mendalam.
Studi ini melibatkan para peneliti dari Science and Technology Divisioni di Corning, Physics of Amorphous and Inorganic Solids Laboratory di Department of Civil and Environmental Engineering di University of California, Los Angeles, Neutron Scattering Division di SNS ORNL, dan Physical and Theoretical Chemistry Laboratory di University of Oxford.
Referensi :
[1] https://www.ornl.gov/news/corning-uses-neutrons-reveal-how-atomic-rings-help-predict-glass-performance diakses pada 16 Februari 2023
[2] Ying Shi, Binghui Deng, Ozgur Gulbiten, Mathieu Bauchy, Qi Zhou, Jörg Neuefeind, Stephen R. Elliott, Nicholas J. Smith, Douglas C. Allan. Revealing the relationship between liquid fragility and medium-range order in silicate glasses. Nature Communications, 2023; 14 (1) DOI: 10.1038/s41467-022-35711-6

