Hukum Kirchhoff kita kenal dalam materi listrik dinamis di mata pelajaran fisika. Hukum ini dapat kita gunakan untuk analisis rangkaian listrik seperti menentukan nilai dari kuat arus maupun tegangan pada suatu komponen listrik di dalam rangkaian. Terkadang, rangkaian tersebut bersifat “tidak sederhana” karena terdiri dari 2 loop serta memiliki sumber tegangan setidaknya 1 di masing-masing loop.
Hukum 1 Kirchhoff
Hukum 1 Kirchoff atau biasa dikenal juga dengan Hukum Kirchoff tentang kuat arus mengatakan bahwa,
“kuat arus yang masuk menuju suatu percabangan akan sama dengan kuat arus yang keluar dari cabang tersebut“
Hal ini dapat kita bayangkan sebagai sebuah aliran sungai yang terbagi 2. Apabila cabang dari sungai tersebut bertemu lagi sehingga kembali menyatu, maka air yang masuk sebelum percabangan akan sama jumlahnya dengan air yang keluar dari percabangan.
Hukum ini cukup terbilang mudah untuk diselesaikan karena hanya melibatkan operasi aritmatika sederhana. Rumus dari Hukum 1 Kirchhoff dapat dilihat sebagai berikut.

Imasuk ialah kuat arus yang masuk menuju suatu percabangan, sedangkan Ikeluar ialah kuat arus yang keluar dari percabangan. Berikut adalah contoh ilustrasi sederhana yang dapat kita gunakan untuk lebih memahami lagi terkait rumus di atas.

Saat Imasuk menuju percabangan, maka kuat arusnya akan terbagi menjadi 2, yaitu i1 dan i2. Saat kedua arus tersebut bertemu lagi di percabangan selanjutnya, maka nilai mereka akan bergabung sehingga menjadi Ikeluar. Hal ini berlaku pula apabila rangkaian terbagi menjadi 3. Apabila seperti itu, maka kuat arus pun akan terbagi menjadi 3 (sesuai dengan jumlah jalur hasil percabangan).
Hukum 2 Kirchhoff
Hukum 2 Kirchhoff atau biasa disebut juga dengan Hukum Kirchhoff tentang tegangan mengatakan bahwa,
“dalam suatu loop rangkaian listrik, jumlah ggl yang ada pada loop tersebut adalah nol“
Hukum 2 Kirchhoff memiliki rumus seperti berikut.

Dengan V adalah ggl dari sumber tegangan, I adalah kuat arus sedangkan R adalah hambatan dari komponen yang terlibat (biasanya komponen berupa resistor). Komponen IR adalah tegangan yang dimiliki oleh komponen listrik yang ada (selain sumber tegangan). Biasanya, variabel yang akan kita cari ialah kuat arus yang mengalir yaitu i. Mungkin kalian akan merasa bingung apabila hanya melihat dari kata-kata maupun rumus yang terlibat. Maka dari itu, berikut adalah contoh soal yang berkaitan dengan Hukum 2 Kirchhoff.
Contoh 1 Loop

Untuk menyelesaikan contoh di atas, saya akan coba memberikan cara yang mungkin agak “berbeda”. Saya mencoba untuk mengacu pada buku fisika dasar dari David Halliday. Walaupun begitu, hasilnya akan tetap sama dengan cara yang tersedia pada umumnya. Berikut akan saya sajikan dalam bentuk poin-poin.
- Pilih salah satu titik dari yang ada di rangkaian sebagai titik acuan awal (contohnya titik a/b/c/d). Kita akan coba pilih titik a.
- Mulailah “perjalanan” untuk mengitari keseluruhan rangkaian dengan memilih searah/berlawanan jarum jam. Dalam contoh ini, kita coba ambil searah jarum jam sehingga perjalanan akan meliputi a-d-c-b-a. Secara umum, kita dapat menyebut arah “perjalanan” ini sebagai arah loop (umumnya orang mengetahuinya sebagai arah loop).
- Pemilihan tanda (+ atau -) bergantung pada komponen yang terlibat, apakah itu resistor ataukah ggl (tanda ggl bergantung pula terhadap arah dari ggl tersebut). Resistor akan selalu memberikan tanda negatif dengan anggapan bahwa resistor mengambil energi dari ggl yang ada.
- Komponen ggl memberikan 2 kondisi: (a) apabila selama “perjalanan” bagian yang bertemu ialah bagian negatif (garis pendek dari simbol ggl) dari ggl nya, maka nilai ggl akan positif (+), (b) apabila bagian yang bertemu ialah bagian positif (garis panjang dari simbol ggl) dari ggl nya, maka nilai ggl akan negatif (-).
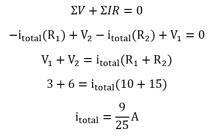
Perhitungan akan memberikan hasil sebagai berikut.

Contoh 2 Loop
Cara tersebut akan berlaku pula untuk kasus rangkaian yang memiliki 2 loop.

Anggap hambatan 10Ω (kiri atas) adalah R1, 15Ω (kiri bawah) adalah R2, 5Ω (tengah) adalah R3, dan 10Ω (kanan) adalah R4. Sedangkan sumber ggl 3V (kiri) adalah V1, sumber ggl 3V (kanan atas) adalah V2, dan sumber ggl 5V (kanan bawah) adalah V3. Kita tuliskan loop kiri sebagai loop 1 dan loop kanan sebagai loop 2. Penyelesaian soal tersebut harus melibatkan Hukum 1 Kirchhoff untuk dapat menentukan kuat arus yang mengalir pada tiap loop. Pada loop 1 kita sebut kuat arusnya sebagai i1, loop 2 sebagai i2, dan pada bagian tengah (antara titik e dan c) sebagai i3. Hukum 1 Kirchhoff pada percabangan e dan c dapat terlihat pada gambar berikut.

Bentuk Hukum 1 Kirchhoff untuk mewakili kedua cabang tersebut ialah,

Selanjutnya kita terapkan Hukum 2 Kirchhoff untuk menyelesaikan contoh di atas. Kita perlu meninjau satu per satu dari tiap loop yang ada. Kita tentukan loop 1 searah jarum jam dan berasal dari titik a. Sedangkan loop 2 searah jarum dan berasal dari titik e.

Gunakan hubungan pada cabang e dan c, yaitu i3 = i1 + i2, sehingga

Gunakan eliminasi (persamaan loop 1 dikali dengan 3),

Tanda negatif pada i2 menunjukkan bahwa arah kuat arus yang sudah kita tentukan sebelumnya (seperti berlawanan jarum jam) ternyata salah. Arah arus yang benarnya ialah kebalikkannya. Nilai kuat arus untuk i3,

Ternyata untuk i3 pun salah, seharusnya memiliki arah ke atas. Setelah semua kuat arus sudah ditentukan, kita perlu melakukan revisi terhadap Hukum 1 Kirchhoff untuk cabang c dan e.

Beberapa catatan penting
- Penentuan arah “perjalanan” tidak ada yang pasti (boleh searah/berlawanan jarum jam). Hal serupa juga untuk arah arus di masing-masing loop.
- Apabila mendapatkan hasil kuat arus yang bernilai negatif, maka penentuan di bagian awal terkait arah kuat arusnya salah.
- Perhitungan harus tetap melibatkan semua hasil kuat arus (walaupun hasilnya negatif).
Daftar Pustaka
- Halliday, D., Resnick, R. & Walker, J., 2010. FISIKA DASAR EDISI 7 JILID 2. Jakarta: Erlangga.
- https://www.electronics-tutorials.ws/dccircuits/dcp_4.html

